IHF同步帶有梯形齒同步帶和圓弧齒同步帶兩大類,設計也分為梯形齒同步帶設計和圓弧齒同步帶兩種。
一、下面是蓋奇圓弧齒同步帶設計方法:
原始設計資料
1原動機和工作機類型;
2每天運轉時間;
3需傳遞的名義功率P;
4小帶輪轉速n1;
5大帶輪轉速n2;
6初定中心距a0;
7對傳動空間的特殊要求。
設計步驟
1確定設計功率Pd Pd = KAP kW……………………………………(1)
式中:KA——工作情況系數,見表 2。 【表 2工作情況系數KA】
|
工作機
|
原動機 | |||||
| 交流電動機(普通轉矩鼠籠式、同步電動機),直流電動機(并激),多缸內燃機 | 直流電動機(大轉矩、大滑差率、單相、滑環),直流電動機(復激、串激),單缸內燃機 | |||||
| 運轉時間 | 運轉時間 | |||||
| 斷續使用每日3~5h | 普通使用每日8~10h | 連續使用每日16~24h | 斷續使用每日3~5h | 普通使用每日8~10h | 連續使用每日16~24h | |
| 復印機,配油裝置,測量儀表,放映機,醫療器械 | 1.0 | 1.2 | 1.4 | 1.2 | 1.4 | 1.6 |
| 清掃機,縫紉機,辦公機械 | 1.2 | 1.4 | 1.6 | 1.4 | 1.6 | 1.8 |
| 帶式輸送機,輕型包裝機,烘干箱,篩選機,繞線機,圓錐成形機,木工車床,帶鋸 | 1.3 | 1.5 | 1.7 | 1.5 | 1.7 | 1.9 |
| 液體攪拌機,混面機,鉆床,沖床,車床,螺紋加工機,接縫機,圓盤鋸床,龍門刨床,洗衣機,造紙機,印刷機 | 1.4 | 1.6 | 1.8 | 1.6 | 1.8 | 2.0 |
| 半液體攪拌機,帶式輸送機(礦石、煤、砂),天軸,磨床,牛頭刨床,鉆鏜床,銑床,離心泵,齒輪泵,旋轉式供給系統,凸輪式振動篩,紡織機械(整經機),離心式壓縮泵 | 1.5 | 1.7 | 1.9 | 1.7 | 1.9 | 2.1 |
| 制磚機(除混泥機),輸送機(平板式、盤式),斗式提升機,升降機,脫水機,清洗機,離心式排風扇,離心式鼓風機,吸風機,發電機,激磁機,起重機,重型升降機,橡膠機械,鋸木機,紡織機械 | 1.6 | 1.8 | 2.0 | 1.8 | 2.0 | 2.2 |
| 離心機,刮板輸送機,螺旋輸送機,錘擊式粉碎機,造紙制漿機 | 1.7 | 1.9 | 2.1 | 1.9 | 2.1 | 2.3 |
| 粘土攪拌機,礦山用風扇,鼓風機,強制送風機 | 1.8 | 2.0 | 2.2 | 2.0 | 2.2 | 2.4 |
| 往復式壓縮機,球磨機,棒磨機,往復式泵 | 1.9 | 2.1 | 2.3 | 2.1 | 2.3 | 2.5 |
2選擇帶型
按n1和Pd,由圖1選擇帶型。【參考ihf同步帶選型網頁】

3計算傳動比 i
i = n1 / n2……………………………………………(2)
4確定帶輪直徑
4.1確定帶輪齒數 Z1、Z2
小帶輪齒數按 Z1≥Zmin原則確定,Zmin見表 3 【參考ihf帶輪最小齒數網頁】
圓弧齒同步帶傳動小帶輪最少齒數zmin
|
小帶輪轉速n1/r·min^-1
|
帶型
|
||||
|
20M
|
|||||
|
<900
|
12
|
14
|
22
|
28
|
34
|
|
900~1 200
|
14
|
20
|
28
|
28
|
34
|
|
1 200~1 800
|
16
|
24
|
32
|
32
|
38 |
|
1 800~3 500
|
20
|
28
|
36
|
— | — |
|
>3 500
|
22 | 30 |
—
|
— | — |
大帶輪齒數按 Z2=iZ1計算后圓整。
4. 2確定帶輪直徑帶輪節圓直徑 d1、d2和帶輪外徑 da1、da2 ,按相應齒數 Z1、Z2可得。
【查看ihf各種同步帶輪參數計算公式】
5選擇帶的節線長度 LP和確定實際中心距 a。
5. 1計算帶的初定節線長度 L0
L0=2a0+1.57(d2+d1)+ (d2–d1)2/4a0mm………………………( 3)
式中:a0——初定中心距,mm,由設計任務給定。
5. 2選擇帶的標準節線長度 LP
LP根據 L0從蓋奇同步帶現有模具表中查詢 【3M同步帶5M同步帶8M同步帶14M同步帶】
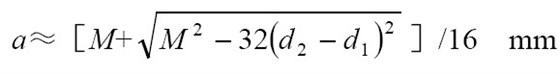
5. 3確定實際中心距 a
中心距近似計算公式為:
…………………………(4)
M=4LP–6.28(d2+d1) mm…………………………………( 5)
中心距精確計算公式見蓋奇同步帶節線長計算【參考ihf同步帶節線長計算網頁】
6確定中心距調整下限 I和調整上限 S
中心距范圍為: (a—I)~(a+S)mm。I和 S值見表 4。
表4中心距安裝量I和調整量S
|
LP
|
i
|
S
|
|
≤500
|
1.02
|
0.76
|
|
>500~1000
|
1.27
|
0.76
|
|
>1000~1500
|
1.78
|
1.02
|
|
>1500~2260
|
2.29
|
1.27
|
|
>2260~3020
|
2.79
|
1.27
|
|
>3020~4020
|
3.56
|
1.27
|
|
>4020~4780
|
4.32
|
1.27
|
|
>4780~6860
|
5.33
|
1.27
|
注: 當帶輪加擋圈量,安裝量I還應加下列數值(mm):
|
帶型
|
單輪加擋圈
|
兩輪加擋圈
|
|
3M
|
3.0
|
6.0
|
|
5M
|
13.5
|
19.1
|
|
8M
|
21.6
|
32.8
|
|
14M
|
35.6
|
58.2
|
|
20M
|
47
|
77.5
|
7確定帶長系數
KL帶長系數 KL由表 5查取。
表5帶長系數KL
|
3M
|
LP(mm)KL | ≤190 0.80 | 191~260 0.90 | 261~400 1.00 | 401~600 1.10 | >600 1.20 | |
|
5M
|
LP(mm)KL | ≤440 0.80 | 441~550 0.90 | 551~800 1.00 | 801~1100 1.10 | >1100 1.20 | |
|
8M
|
LP(mm)KL | ≤600 0.80 | 601~900 0.90 | 901~1250 1.00 | 1251~1800 1.10 | >1800 1.20 | |
|
14M
|
LP(mm)KL | ≤1400 0.80 | 1401~1700 0.90 | 1701~2000 0.95 | 2001~2500 1.00 | 2501~3400 1.05 | >3400 1.10 |
|
20M
|
LP(mm)KL | ≤2000 0.80 | 2001~2500 0.85 | 2501~3400 0.95 | 3401~4600 1.00 | 4601~5600 1.05 | >5600 1.10 |
8確定嚙合齒數系數 KZ嚙
嚙合齒數 Zm由式(6)計算: Zm =ent(0.5–(d2−d1)/6a )Z1………………………………(6)
嚙合齒數系數KZ由式(7)確定:
Zm≥6,KZ=1
Zm<6,KZ=1–0.2(6–Zm)……………………………(7)
9確定帶的基本額定功率P0
各帶型的最小寬度推薦用基本額定功率P0
圓弧齒3M同步帶基準帶寬6mm的基本額定功率P0
圓弧齒5M同步帶基準帶寬9mm的基本額定功率P0
圓弧齒8M同步帶基準帶寬20mm的基本額定功率P0
圓弧齒14M同步帶基準帶寬40mm的基本額定功率P0
圓弧齒20M同步帶基準帶寬115mm的基本額定功率P0
10帶的額定功率 Pr
帶的額定功率按式(3)計算:Pr=KLKZKWP0 kW…………………………………(8)
式中:KW—帶寬系數
KW=( bs/ bs0 )1.14……………………………………(9)
11確定帶和帶輪的寬度
按Pd≤Pr原則選擇帶的寬度bs,則
…………………………(10)
式中:bs0見下表
|
帶型
|
3M
|
5M
|
8M
|
14M
|
20M
|
|
bs0
|
6
|
9
|
20
|
40
|
115
|
按計算結果選擇相對應的常見寬度
并確定帶輪的齒面寬度及總寬度。
12計算壓軸力Q
壓軸力Q示意圖見圖2。

圖2帶傳動的壓軸力
帶的緊邊張力F1和松邊張力F2分別由式(11)、式(12)計算:
F1=1250Pd/v………………………………………(11)N
F2=250Pd/v………………………………………(12)N
式中:v—帶速,m/s;v=πd1n1/6000。
壓軸力Q由式(13)計算:Q=KF(F1+F2)N…………………………………(13)
當工況系數KA≥1.3時:Q=0.77KF(F1+F2)N………………………………(14)
式中:KF——矢量相加修正系數,見圖3。

圖3矢量相加修正系數
KF據小帶輪包角α1 查圖3 而得。小帶輪包角由式(15)計算:
α1≈180°–(( d2−d1)/a)×57.3° ………………………………(15)
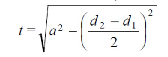
13帶的張緊
按式(16)、式(17)計算帶安裝時應保證的撓度f(見圖4),以使帶產生適當的張緊力
……………………………(16)
f=t/64 mm………………………………………(17)
圖4帶安裝時的撓度
施加表12規定的安裝力G(見圖4),調整中心距,使其撓度f與計算值一致。
表12安裝力G
|
帶型
|
帶寬bsmm | 安裝力GN |
|
3M
|
6
9
15
|
2.0
2.9
4.9
|
|
5M
|
9
15
20
25
30
|
3.9
6.9
9.8
12.7
15.7
|
|
8M
|
20
30
50
85
|
17.6
26.5
49.0
84.3
|
|
14M
|
40
55
85
115
170
|
49.0
71.5
117.6
166.6
254.8
|
|
20M
|
115
170
230
290
340
|
242.7
376.1
521.7
655.1
788.6
|
13設計小結
帶型、帶長、帶寬。帶的標記代號;帶輪型號、大小帶輪的齒數、節徑、外徑、寬度。帶輪的標記代號;帶傳動實際中心距及其安裝調整值;帶傳動的壓軸力;帶的安裝力和撓度本文由深圳市合發齒輪機械有限公司,合發齒輪17年只做一件事精密齒輪制造—同步帶輪—同步帶,生產廠家標準件大量庫存當天發貨價格優質保障,集研發.生產.服務一體化,